오늘은 경기도 수원시 권선구 당수 1지구 공공주택지구에 새롭게 분양되고 있는 엘리프 한신더휴 수원 C3/D3블록(BL)에 대해서 살펴보면서 아파트 청약 신청을 하고자 하는 분들에게 도움 되는 정보라고 확신합니다. 신청하는 방법부터 가르쳐 드릴게요!
청약 안내문
아파트 청약 신청함에 있어 안내되는 사항을 보시는건 청약을 신청하실 때 엄청 도움이 되리라 생각됩니다. 각각의 공급 유형이 어떻게 되고 체크할 사항이 무엇인지 알려드리겠습니다.
모집 공고
잘 살펴보셨나요? 이제 안내되는 사항을 다 보셨다면 아파트 청약과 관련된 모집공고문 또한 잘 살피는 것이 필수입니다. 여러 가지 정책들과 주택공급에 관한 규칙, 청약통장에 관한 내용, 전매제한 구분, 분양일정, 공급내역 및 공급금액, 납부 일정에 얻을 수 있는 자료이오니 꼼꼼하게 체크하시기 바랍니다.
지금까지의 내용은 해당 아파트의 여러가지 분양정보를 읽기 전에 여러분들이 무심코 넘어갈 부분이기에 꼼꼼히 살펴보시는 게 좋을 거 같아 이렇게 세심하게 적어놓았습니다. 이제 이 아파트가 어떠한 실거주나 투자가치가 있는지 제대로 파헤쳐보도록 하겠습니다!
엘리프 한신더휴 수원 정보
C3블록
| 대지위치 | 경기도 수원시 권선구 수원 당수1지구 |
| 단지규모 | 지하 2층 ~ 지상 8-19층, 10개동, 총 452세대 / 일반분양 440세대 |
| 지역지구 | 제3종일반주거지역, 지구단위계획구역 |
| 분양/입주 | 분양 2025.10.31 / 입주 2027.12 |
| 건설사 | 계룡건설산업(주) |
| 주차대수 | 906대 / 세대당 2.00대 |
| 분양문의 | 031-298-7001 |
| 난방방식 | 지역난방 |

D3블록
| 대지위치 | 경기도 수원시 권선구 수원 당수1지구 |
| 단지규모 | 지하 2층 ~ 지상 23층, 12개동, 총 697세대 / 일반분양 640세대 |
| 지역지구 | 제3종일반주거지역, 지구단위계획구역 |
| 분양/입주 | 분양 2025.10.31 / 입주 2028.04 |
| 건설사 | 계룡건설산업(주) |
| 주차대수 | 1,394대 / 세대당 2.00대 |
| 분양문의 | 031-298-7001 |
| 난방방식 | 지역난방 |

경기도 수원시 권선구 수원 당수1지구에 위치한 엘리프 한신더휴 수원 C3/D3블록은 C3블록의 경우 지하 2층에서 지상 19층 10개 동으로 이루어져 있고 D3블록은 지하 2층에서 지상 23층으로 해서 12개 동으로 이루어져 있습니다. C3블록은 총 440세대 수로 구성되어져 있고 D3블록은 총 697세대수로 구성되어 있습니다.
프리미엄

분양 일정
분양일정으로는 최초 모델하우스가 10월 31일날 오픈되어 11월 10일 날 특별공급을 진행하고 11월 11일 날 1순위 청약을 진행합니다. 그리고 그다음 날인 11월 12일 날 2순위 청약을 진행합니다. 해당 추첨된 사항에 대해서는 11월 18일 날 D3블록 당첨자 발표로 이루어지고 11월 19일 날에 C3블록 당첨자 발표가 이루어집니다. 11월 21일부터 11월 29일까지 입주대상자 서류제출기간을 갖습니다. 11월 29일까지 모든 서류제출이 마무리되면 12월 1일부터 12월 4일까지 정당계약을 진행합니다.

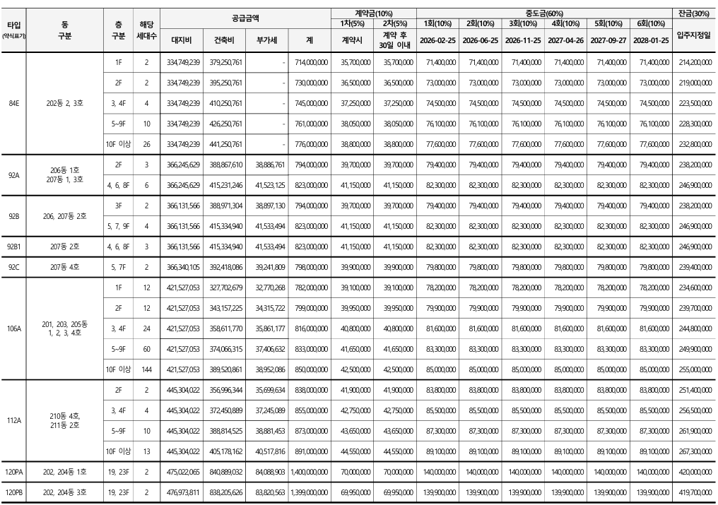
분양가 및 공급금액


C3블록의 공급면적에 대한 평형대로는 29A평, 33A평, 33B평, 33C평, 33D평, 33P평으로 이루어져 있습니다. 가장 저렴한 평형대는 29A평이며 가장 가격이 높은 평형대는 33P평입니다. 분양세대수의 경우 가장 낮은 세대수로 구성된 평형대는 33P평이고 가장 높은 세대수는 33B평입니다. 분양가에 따르는 계약금은 10%, 중도금 대출은 60%, 잔금은 30%로 설정되어 있습니다.


D3블록의 공급면적에 대한 평형대로는 29A평, 32A평, 32B평, 33C평, 32D평, 35A평, 35B평, 36C평, 41A평, 43A평, 47A평, 47B평으로 이루어져 있습니다. 가장 저렴한 평형대는 29A평이며 가장 가격이 높은 평형대는 47A평입니다. 분양세대수의 경우 가장 낮은 세대수로 구성된 평형대는 36C평, 47A평, 47B평이고 가장 높은 세대수는 41A평입니다. 분양가에 따르는 계약금은 10%, 중도금 대출은 60%, 잔금은 30%로 설정되어 있습니다.
입지환경
아파트의 입지환경적인 요소들인 역세권, 생활편의시설(마트), 병원, 학군(초등학교), 식당가들이 어떤지 살펴보도록 하겠습니다.
역세권
C3블록
앞으로 신분당선인 호매실역이 생겨야 호재거리로 작용할 듯싶습니다. 대중교통을 이용하여 약 15분 정도 소요될 것으로 생각됩니다.

D3블록
마찬가지로 호매실역이 생겨야 호재거리로 작용될 거 같습니다. C3블록과 마찬가지로 약 15분에서 20분 정도 소요될 것으로 판단됩니다.

생활편의시설
C3블록
마트의 경우 도보를 이용하여 21분 정도 가면 하나로마트가 있어서 생활편의시설은 나쁘지 않다고 생각됩니다. 그 외 택지개발지구로써의 여러 가지 생활 인프라로써 여러 가지 식당과 커피숖, 등등이 존재해 나쁘지 않습니다.

D3블록
C3블록과 마찬가지로 도보상으로 21분 정도 걸릴 것으로 생각됩니다.

병원
C3블록
병원은 가까운 거리에 즐비하지만 많은 유동인구가 속해있는 안과가 없는 걸 보면 아직 그만한 생활인구가 포진되어 있지는 않은 듯합니다. 가까운 거리는 도보로 16분에서 멀건 30분 사이로 포진되어 있습니다.

D3블록
병원은 가까운 거리에 즐비하지만 많은 유동인구가 속해있는 안과가 없는 걸 보면 아직 그만한 생활인구가 포진되어 있지는 않은 듯합니다. 가까운 거리는 도보로 15분에서 멀건 30분 사이로 포진되어 있습니다.

학군
C3블록
아파트에서 가장 가까운 거리의 초등학교는 당수초등학교로써 도보로 24분 정도 위치에 있습니다. 아직은 신도시가 건설이 부족해서 바로 앞에 초등학교가 예정되어 있지는 않은 거 같습니다.

D3블록
아파트에서 가장 가까운 거리의 초등학교는 당수초등학교로써 도보로 14분 정도 위치에 있습니다.

식당가
C3블록
식당가는 바로 앞에는 없지만 좀 더 가다 보면 여러 상가들이 밀집해 있는 곳이 나옵니다. 도보상으로 15분에서 30분 정도 걸릴 것으로 생각됩니다.

D3블록
C3블록은 아래쪽이 더 가깝겠지만 D3블록은 위쪽 상가들을 이용할 가능성이 다분해 보입니다. 도보상으로 15분 정도에서 20분 정도 걸릴 것으로 판단됩니다.

단지 배치도
C3블록
총 10개의 동으로 구성되어 있고 입구 쪽에 위치한 101동과 110동에서 가장 끝에 105동 까지 거리는 3분 정도 소요될 거라 예상됩니다. 아파트 중심부에는 휴식공간을 마련해 놓았고 각각의 동사이마다 어린이놀이터와 유아놀이터가 구성되어 있고 101동과 102동사이와 101동과 110동 사이에는 커뮤니티클럽을 구성해 놓았습니다.

D3블록
총 12개의 동으로 구성되어 있고 입구 쪽에 위치한 201동과 212동에서 가장 끝에 205동 까지 거리는 5분 정도 소요될 거라 예상됩니다. 아파트 중심부에는 휴식공간을 마련해 놓았고 각각의 동사이마다 어린이놀이터와 유아놀이터가 구성되어 있고 204동과 207동사이에는 커뮤니티클럽을 구성해 놓았고 210동앞에는 스마트라운지와 위드라운지가 구성되어져 있습니다.

동 · 호수 배치도
C3블록
총 440세대인 엘리프 한신더휴 수원 C3블록 아파트는 전용면적에 대한 평형대가 74A㎡, 84A㎡, 84B㎡, 84C㎡, 84D㎡, 84P㎡ 로 나뉩니다. 현재 74A㎡ 타입의 경우 101동, 102동, 103동, 110동에 위치해 있으며 84A㎡ 타입의 경우 101동, 102동, 104동, 109동, 105동, 107동에 위치해 있고 84B㎡ 타입의 경우 101동, 102동, 104동, 105동, 107동, 106동, 108동, 109동, 110동에 위치해 있습니다. 그리고 84C㎡ 타입의 경우 106동, 108동에 위치해 있으며 84D㎡ 타입의 경우 105동, 106동, 107동, 108동에 위치해 있습니다. 마지막으로 84P㎡ 타입의 경우에는 106동과 108동에 위치해 있습니다.

D3블록
총 640세대인 엘리프 한신더휴 수원 D3블록 아파트는 전용면적에 대한 평형대가 74A㎡, 84A㎡, 84B㎡, 84C㎡, 84D㎡, 84E㎡, 92A㎡, 92B㎡, 92C㎡, 106A㎡, 112A㎡, 120PA㎡, 120PB㎡로 나뉩니다. 현재 74A㎡ 타입의 경우 210동에 위치해 있으며 84A㎡ 타입의 경우 206동, 207동, 208동, 209동에 위치해 있고 84B㎡ 타입의 경우 204동, 207동, 208동, 209동, 212동에 위치해 있습니다. 그리고 84C㎡ 타입의 경우 202동, 204동, 210동, 211동, 212동에 위치해 있으며 84D㎡ 타입의 경우 202동, 204동, 210동, 211동, 212동에 위치해 있고 84E㎡ 타입의 경우 202동에 위치해 있습니다. 또한 92A㎡ 타입의 경우 206동, 207동에 위치해 있으며 92B㎡ 타입의 경우 206동, 207동에 위치해 있고 92C㎡ 타입의 경우 207동에만 위치해 있습니다. 106A㎡ 타입의 경우 201동, 203동, 205동에 위치해 있고 112A㎡ 타입의 경우 201동, 211동에 위치해 있고 120PA㎡, 120PB㎡ 타입의 경우 202동과 204동에 위치해 있습니다.

커뮤니티 시설
C3블록
단지 내 커뮤니티 시설에는 커뮤니티클럽과 스카이라운지, 어린이집, 런베이스가 구성되어 있는데 커뮤니티클럽에는 골프연습장, 작은도서관, 경로당, 에듀세넡, 실내놀이터, 헬스장이 구성되어져 있습니다.

D3블록
단지 내 커뮤니티 시설에는 경로당, 스카이라운지, 어린이집, 커뮤니티클럽, 실내체육관이 구성되어져 있는데 커뮤니티클럽에는 골프연습장, 맘스라운지, 키즈클럽, 헬스장이 구성되어져 있습니다.

주택형 안내
74A㎡ - 29A평

84A㎡ - 33A평

84B㎡ - 33B평

84C㎡ - 33C평

84D㎡ - 33D평

84E㎡ - 33E평

84P㎡ - 33P평

92A㎡ - 35A평

92B㎡ - 35B평

92C㎡ - 35C평

106A㎡ - 41A평

112A㎡ - 43A평

120PA㎡ - 47A평

120PB㎡ - 47B평

위치
C블록
D블록
결론적으로
엘리프 한신더휴 수원 C3/D3블록은 경기도 수원시 권선구 당수 1 지구 공공주택지구 내에 위치한 아파트로, 단지 규모와 커뮤니티 시설, 입지 여건 등에서 꽤 매력적인 요소를 갖춘 분양 단지라고 느껴졌습니다.
먼저 단지 규모를 보면, C3블록은 452세대, D3블록은 697세대로 중소형에서 중대형까지 다양한 세대 구성으로 실거주와 투자 모두를 고려한 설계가 돋보입니다. 각 블록 모두 지하 2층~지상 8~23층으로 층별 높이가 다양하고, 세대당 2대의 주차 공간을 확보한 점도 편의성을 높이는 부분입니다.
입지 측면에서는 아직 호매실역이 신설 예정 단계이지만, 완공 시 교통 편의성이 크게 개선될 것으로 예상됩니다. 생활편의시설은 도보 15~20분 거리에 하나로마트와 상가들이 있어 기본적인 생활 인프라는 갖춰진 편입니다. 다만 병원과 초등학교는 거리가 조금 있는 편이라 가족 단위 거주라면 조금 불편할 수도 있어 보입니다.
단지 내 시설은 상당히 잘 갖춰져 있습니다. 어린이놀이터, 유아놀이터, 커뮤니티클럽, 스카이라운지, 헬스장 등 다양한 커뮤니티 시설이 준비돼 있어 입주 후 생활 만족도가 높을 것으로 예상됩니다. 특히 D3블록에는 맘스라운지와 실내체육관까지 있어 가족 단위 입주자에게 적합한 구조라는 인상을 받았습니다.
분양 일정과 평형대, 분양가를 보면, 다양한 평형이 준비돼 있어 선택의 폭이 넓고, 계약금·중도금·잔금 비율이 명확히 설정되어 있어 청약 참여 시 재정 계획을 세우기에도 편리합니다. 특히 C3블록은 29A평부터 33P평, D3블록은 29A평부터 47B평까지 다양하게 구성돼 있어 소형에서 대형까지 선택이 가능하다는 점이 매력적입니다.
종합적으로 보면, 엘리프 한신더휴 수원 C3/D3블록은 투자보다는 실거주 중심으로 설계된 단지로 보입니다. 단지 내 커뮤니티와 편의시설이 잘 갖춰져 있어 가족 단위 거주에 적합하며, 향후 교통 호재가 발생하면 프리미엄 가치도 기대해 볼 수 있는 단지라는 생각이 들었습니다. 다만 역세권과 학군이 아직 완전히 갖춰지지 않은 점은 단점으로 작용할 수 있어, 장기적 관점에서 입지 변화를 함께 고려해야 할 것 같습니다.
브레인시티 비스타동원 아파트 청약 신청 방법 및 분양정보
오늘은 경기도 평택시 장안동에 새롭게 분양되고 있는 브레인시티 비스타동원에 대해서 살펴보면서 아파트 청약 신청을 하고자 하는 분들에게 도움 되는 정보라고 확신합니다. 신청하는 방법
itaekwonclass.tistory.com
반포 래미안 트리니원 아파트 청약 신청 방법 및 분양정보
오늘은 서울특별시 서초구 반포동에 새롭게 분양되고 있는 반포 래미안 트리니원에 대해서 살펴보면서 아파트 청약 신청을 하고자 하는 분들에게 도움 되는 정보라고 확신합니다. 신청하는 방
itaekwonclass.tistory.com
도룡자이 라피크 아파트 청약 신청 방법 및 분양정보
오늘은 대전광역시 유성구 도룡동에 새롭게 분양되고 있는 도룡자이 라피크에 대해서 살펴보면서 아파트 청약 신청을 하고자 하는 분들에게 도움 되는 정보라고 확신합니다. 신청하는 방법부
itaekwonclass.tistory.com
'부동산 > 청약 - 아파트 분양' 카테고리의 다른 글
| 효성해링턴 플레이스 여수 아파트 청약 일정 및 분양 정보 알아보자 (1) | 2025.11.21 |
|---|---|
| 부산 해링턴플레이스 명륜역 아파트 청약 일정 및 분양 정보 알아보자 (0) | 2025.11.12 |
| 브레인시티 비스타동원 아파트 청약자격확인 방법 및 안내문, 구비서류 체크! (0) | 2025.11.10 |
| 브레인시티 비스타동원 아파트 청약 신청 방법 및 분양정보 (0) | 2025.11.10 |
| 반포 래미안 트리니원 아파트 청약 신청 방법 및 분양정보 (0) | 2025.11.09 |


댓글